Официальное опубликование правовых актов
ОФИЦИАЛЬНОЕ ОПУБЛИКОВАНИЕ
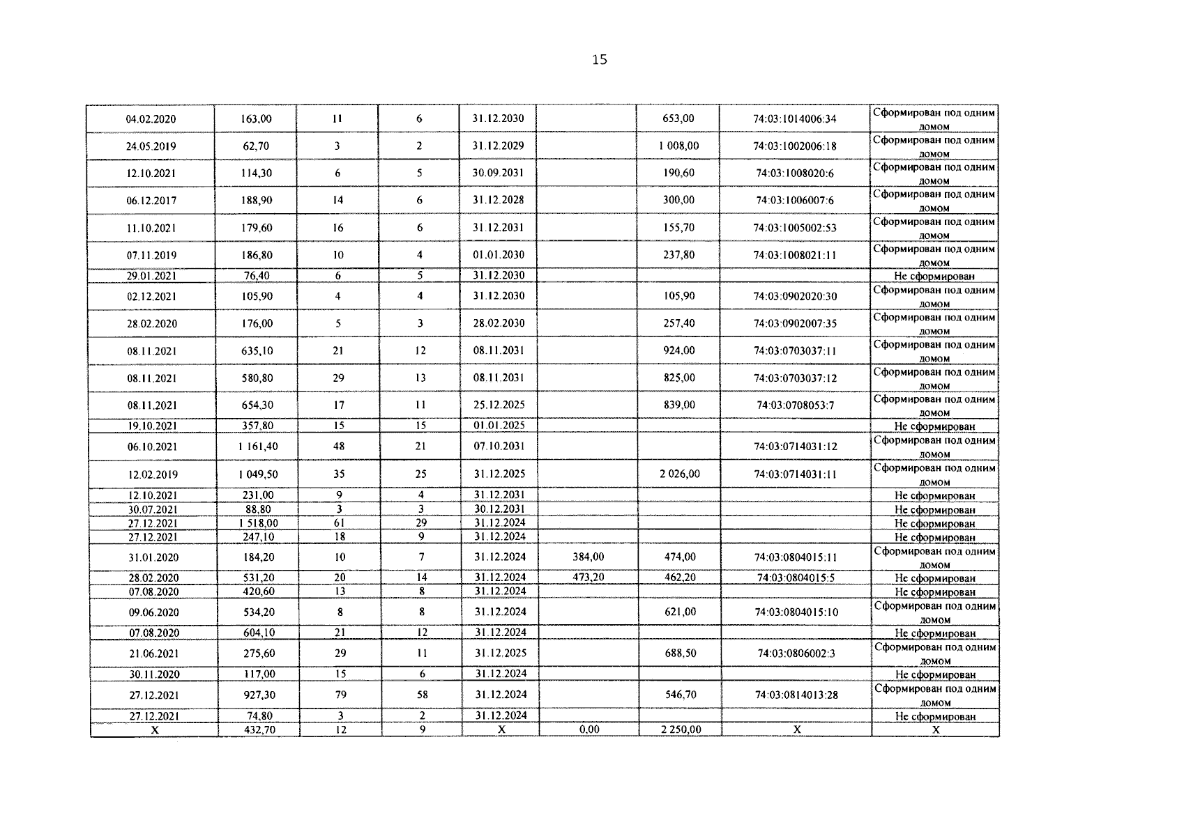
Постановление Правительства Челябинской области от 27.06.2024 № 399-П
"Об областной адресной программе по переселению граждан из аварийного жилищного фонда, признанного таковым с 1 января 2017 года до 1 января 2022 года, в Челябинской области"
Номер опубликования: 7400202406280019
Дата опубликования: 28.06.2024
Страница №16 из 63:
Увеличить