Официальное опубликование правовых актов
ОФИЦИАЛЬНОЕ ОПУБЛИКОВАНИЕ
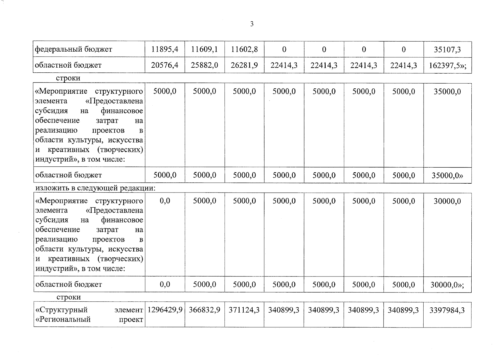
Постановление Правительства Челябинской области от 06.06.2024 № 347-П
"О внесении изменений в постановление Правительства Челябинской области от 16.12.2020 г. № 684-П"
Номер опубликования: 7400202406070017
Дата опубликования: 07.06.2024
Страница №4 из 18:
Увеличить