Официальное опубликование правовых актов
ОФИЦИАЛЬНОЕ ОПУБЛИКОВАНИЕ
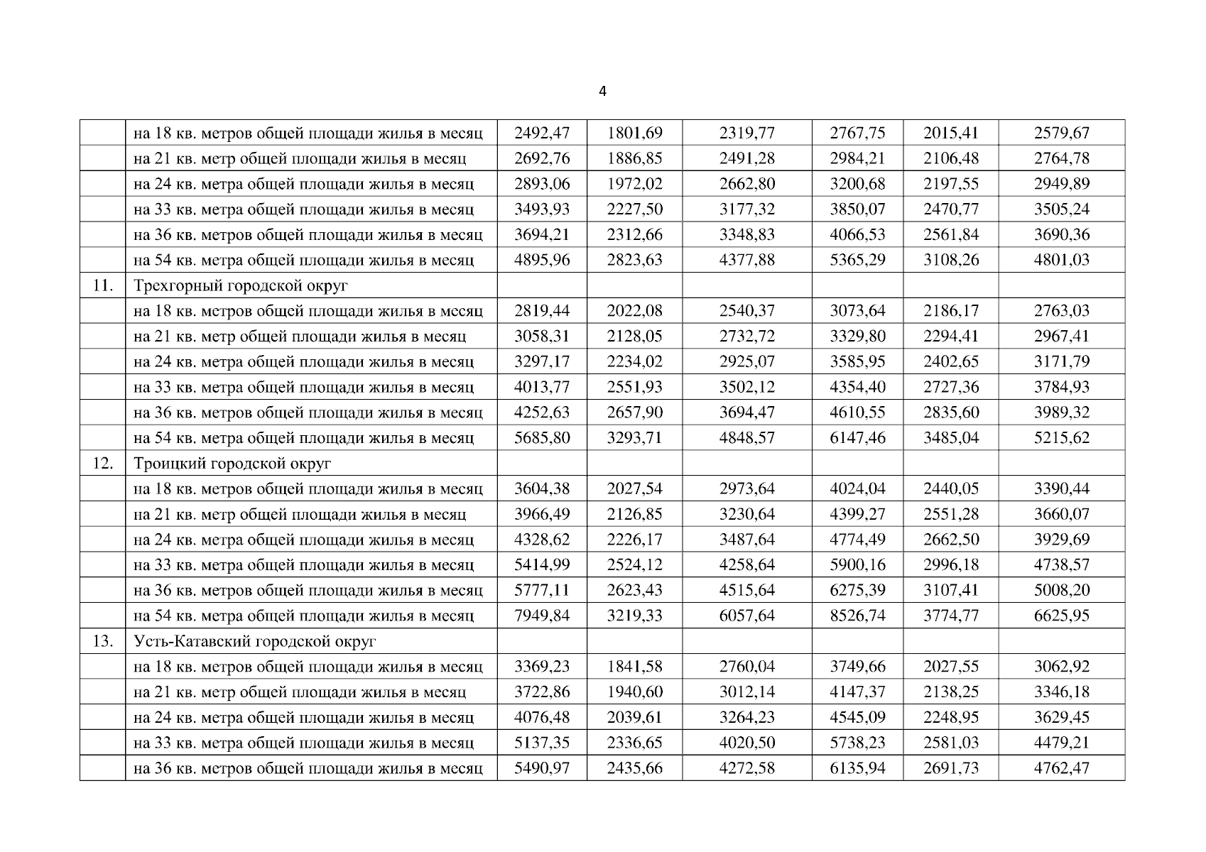
Постановление Правительства Челябинской области от 22.05.2024 № 317-П
"О региональных стандартах стоимости жилищно-коммунальных услуг по Челябинской области на 2024 год"
Номер опубликования: 7400202405230007
Дата опубликования: 23.05.2024
Страница №84 из 314:
Увеличить