Закон Челябинской области от 05.04.2024 № 55-ЗО
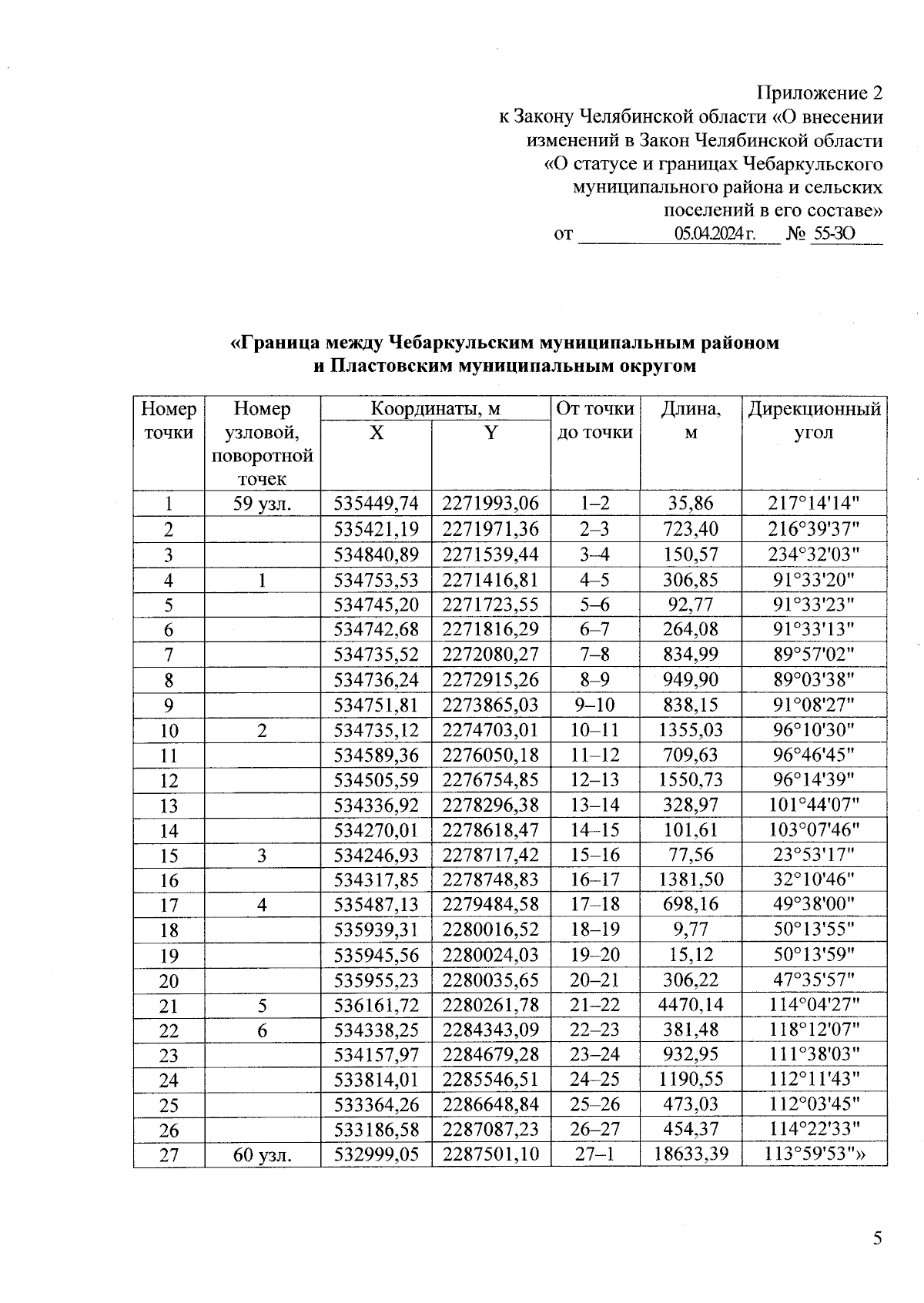
"О внесении изменений в Закон Челябинской области "О статусе и границах Чебаркульского муниципального района и сельских поселений в его составе"
"О внесении изменений в Закон Челябинской области "О статусе и границах Чебаркульского муниципального района и сельских поселений в его составе"
Номер опубликования: 7400202404080005
Дата опубликования:
08.04.2024
