Официальное опубликование правовых актов
ОФИЦИАЛЬНОЕ ОПУБЛИКОВАНИЕ
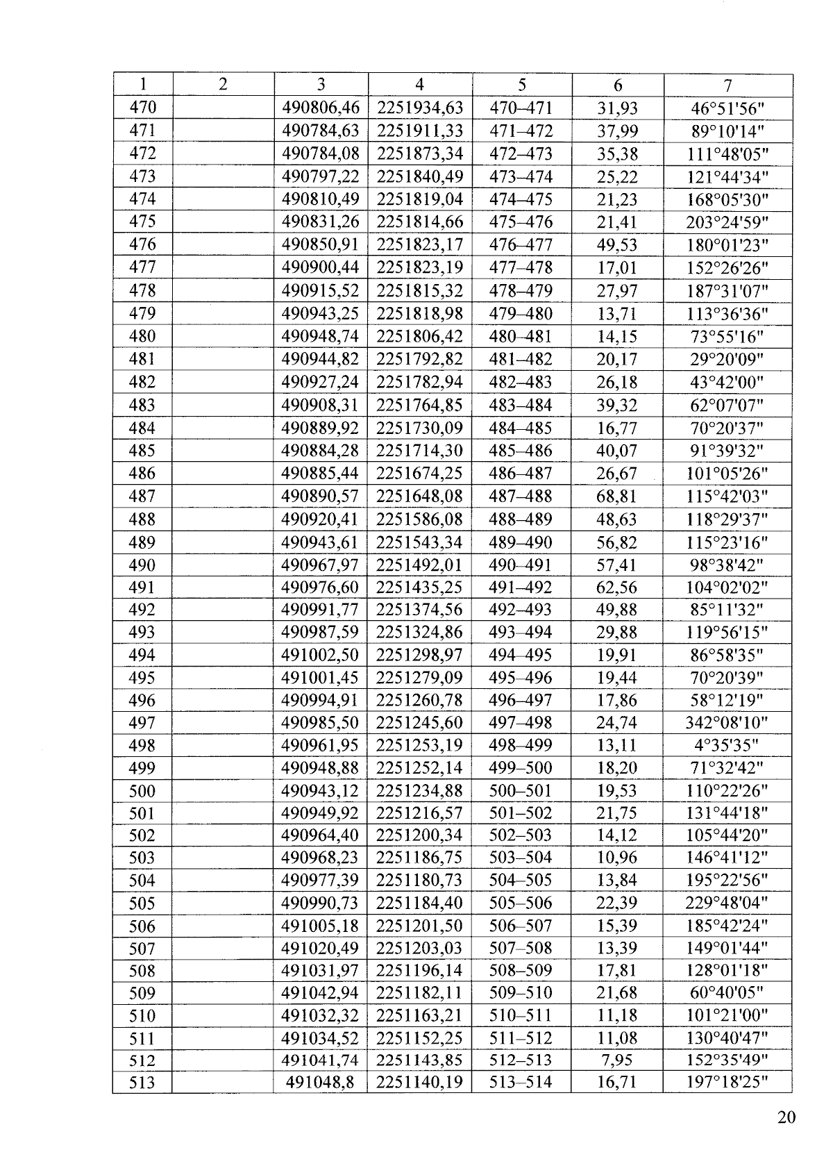
Закон Челябинской области от 05.04.2024 № 54-ЗО
"О внесении изменений в Закон Челябинской области "О статусе и границах Уйского муниципального района и сельских поселений в его составе"
Номер опубликования: 7400202404080004
Дата опубликования: 08.04.2024
Страница №20 из 27:
Увеличить