Официальное опубликование правовых актов
ОФИЦИАЛЬНОЕ ОПУБЛИКОВАНИЕ
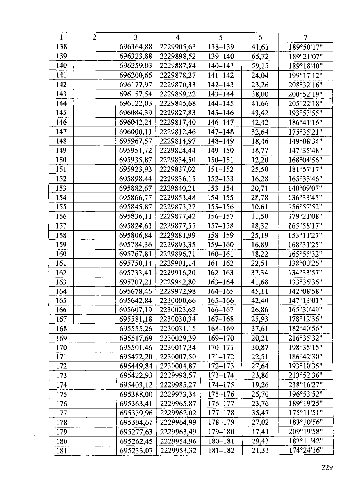
Закон Челябинской области от 01.04.2024 № 34-ЗО
"О статусе и границах Нязепетровского муниципального округа Челябинской области"
Номер опубликования: 7400202404020003
Дата опубликования: 02.04.2024
Страница №229 из 296:
Увеличить