Официальное опубликование правовых актов
ОФИЦИАЛЬНОЕ ОПУБЛИКОВАНИЕ
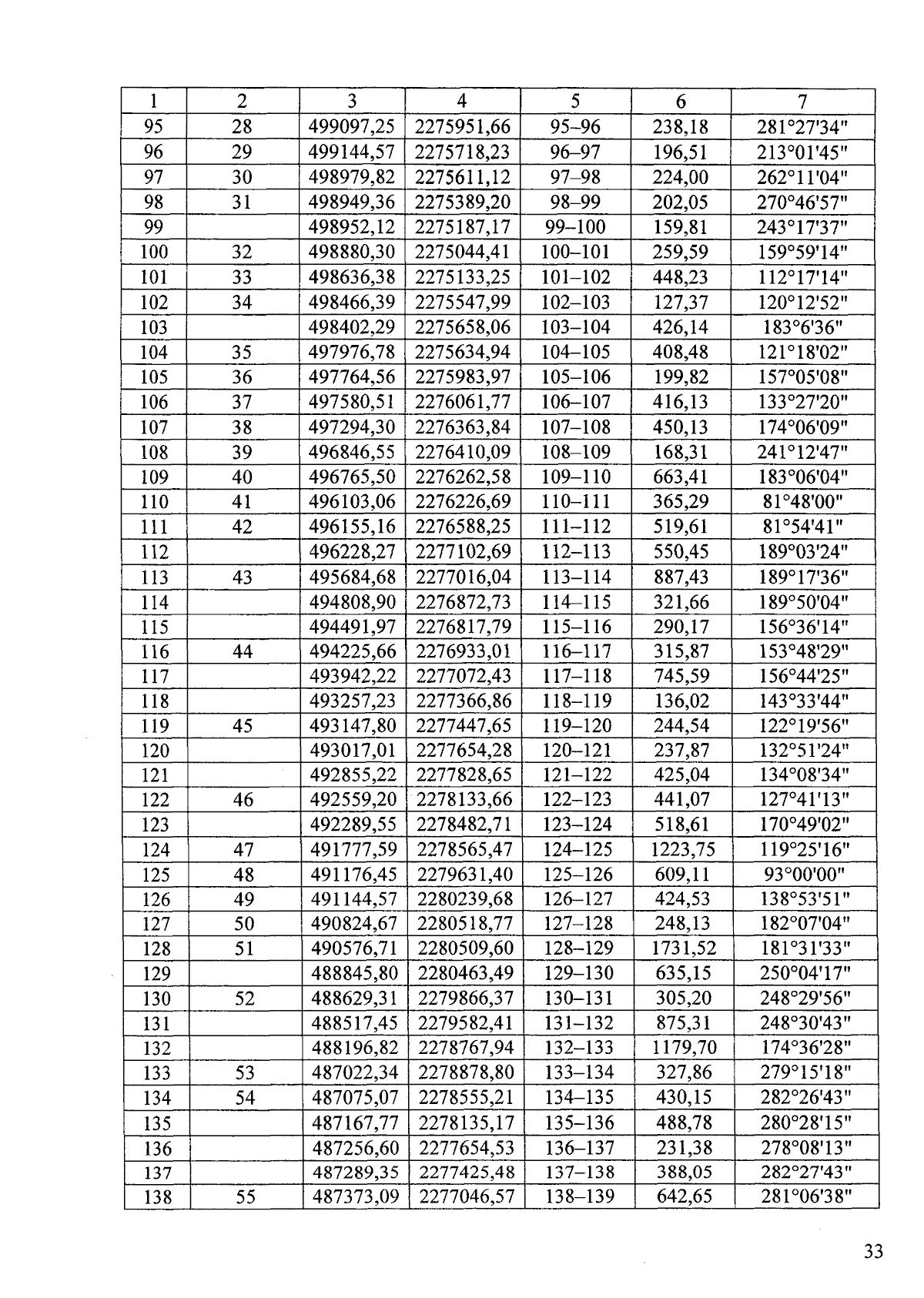
Закон Челябинской области от 01.04.2024 № 35-ЗО
"О статусе и границах Пластовского муниципального округа Челябинской области"
Номер опубликования: 7400202404020002
Дата опубликования: 02.04.2024
Страница №33 из 63:
Увеличить