Официальное опубликование правовых актов
ОФИЦИАЛЬНОЕ ОПУБЛИКОВАНИЕ
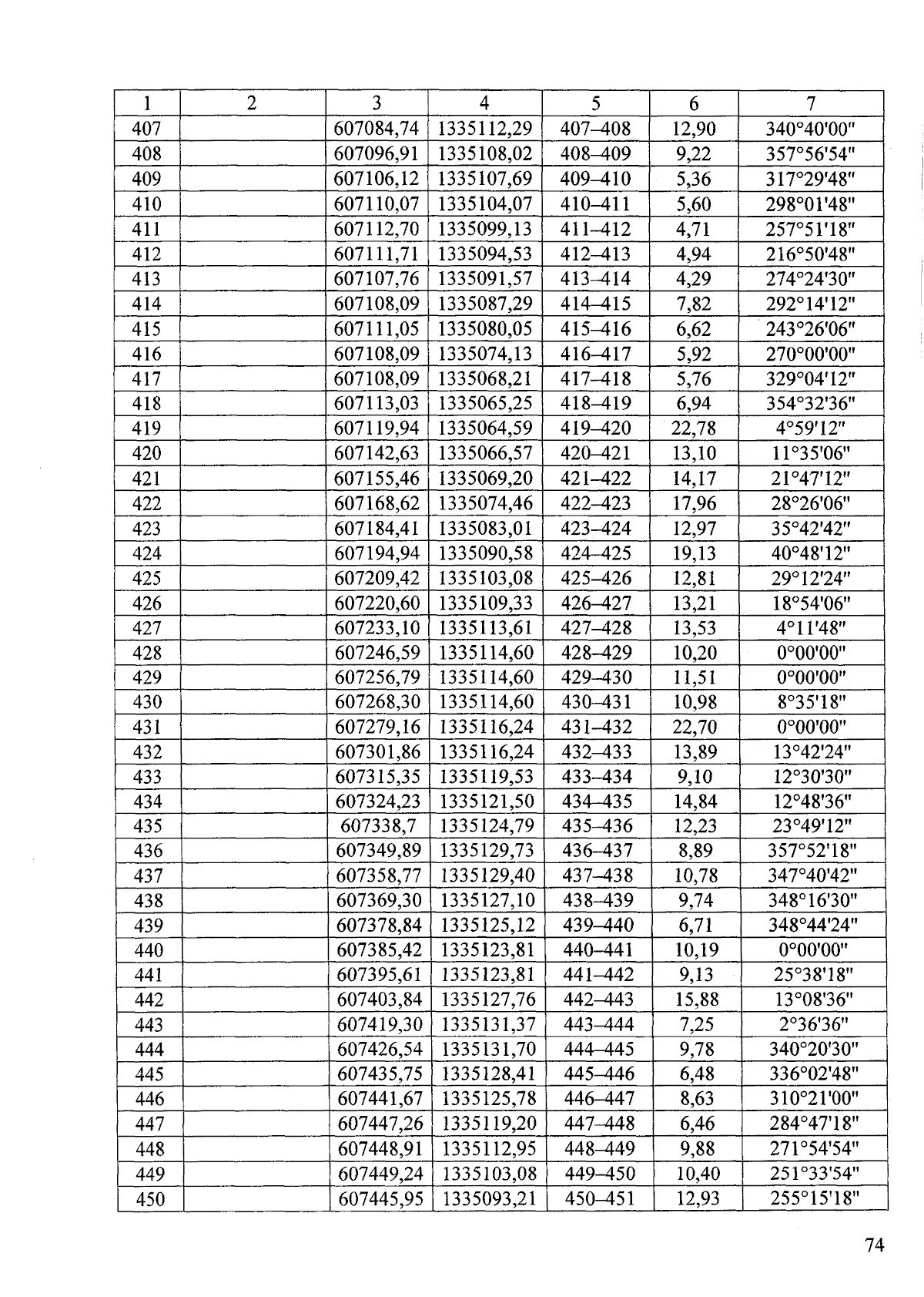
Закон Челябинской области от 01.04.2024 № 33-ЗО
"О статусе и границах Саткинского муниципального округа Челябинской области"
Номер опубликования: 7400202404020001
Дата опубликования: 02.04.2024
Страница №74 из 102:
Увеличить