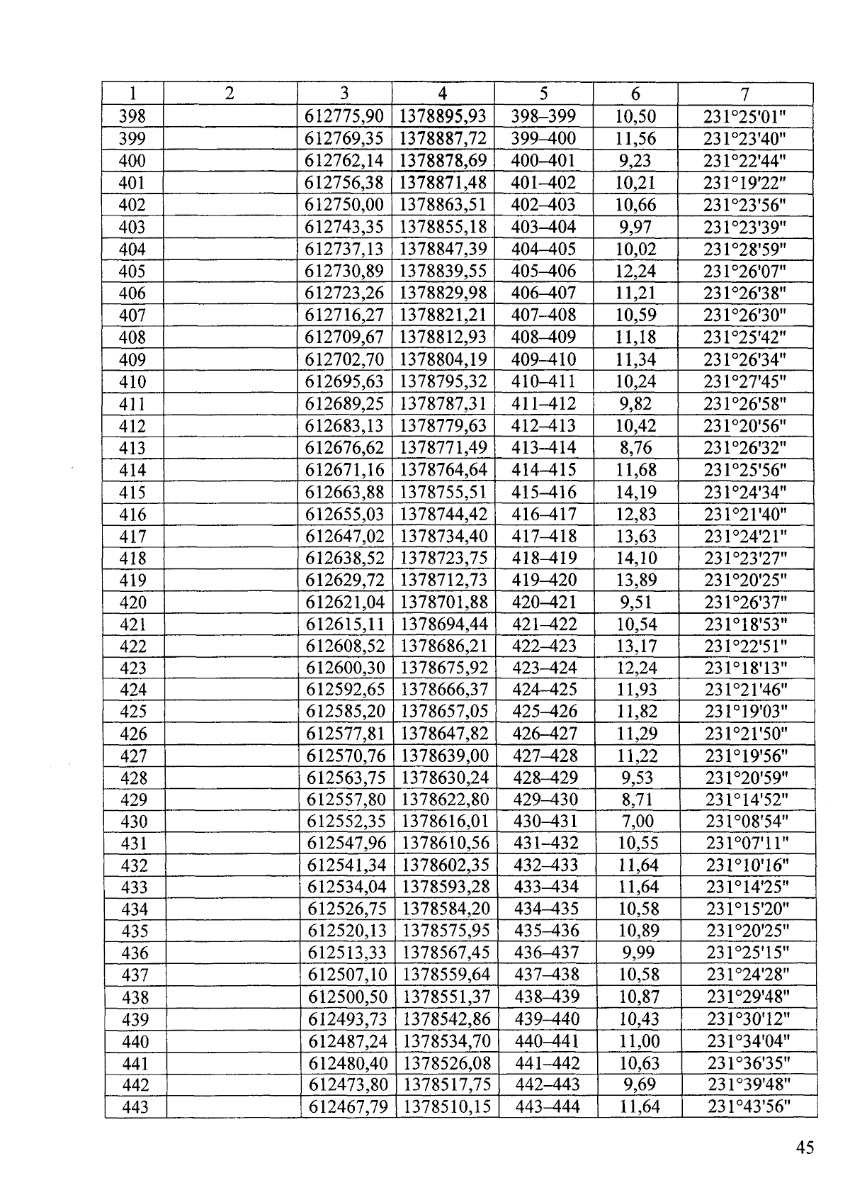
Закон Челябинской области от 01.04.2024 № 33-ЗО
"О статусе и границах Саткинского муниципального округа Челябинской области"
"О статусе и границах Саткинского муниципального округа Челябинской области"
Номер опубликования: 7400202404020001
Дата опубликования:
02.04.2024
