Официальное опубликование правовых актов
ОФИЦИАЛЬНОЕ ОПУБЛИКОВАНИЕ
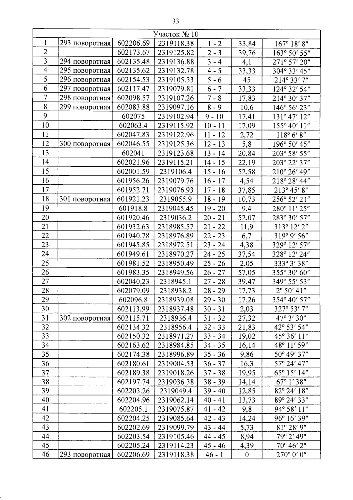
Постановление Правительства Челябинской области от 21.03.2024 № 193-П
"О внесении изменений в постановления Правительства Челябинской области от 15.02.2007 г. № 27-П, от 21.02.2008 г. № 34-П"
Номер опубликования: 7400202403210006
Дата опубликования: 21.03.2024
Страница №67 из 69:
Увеличить