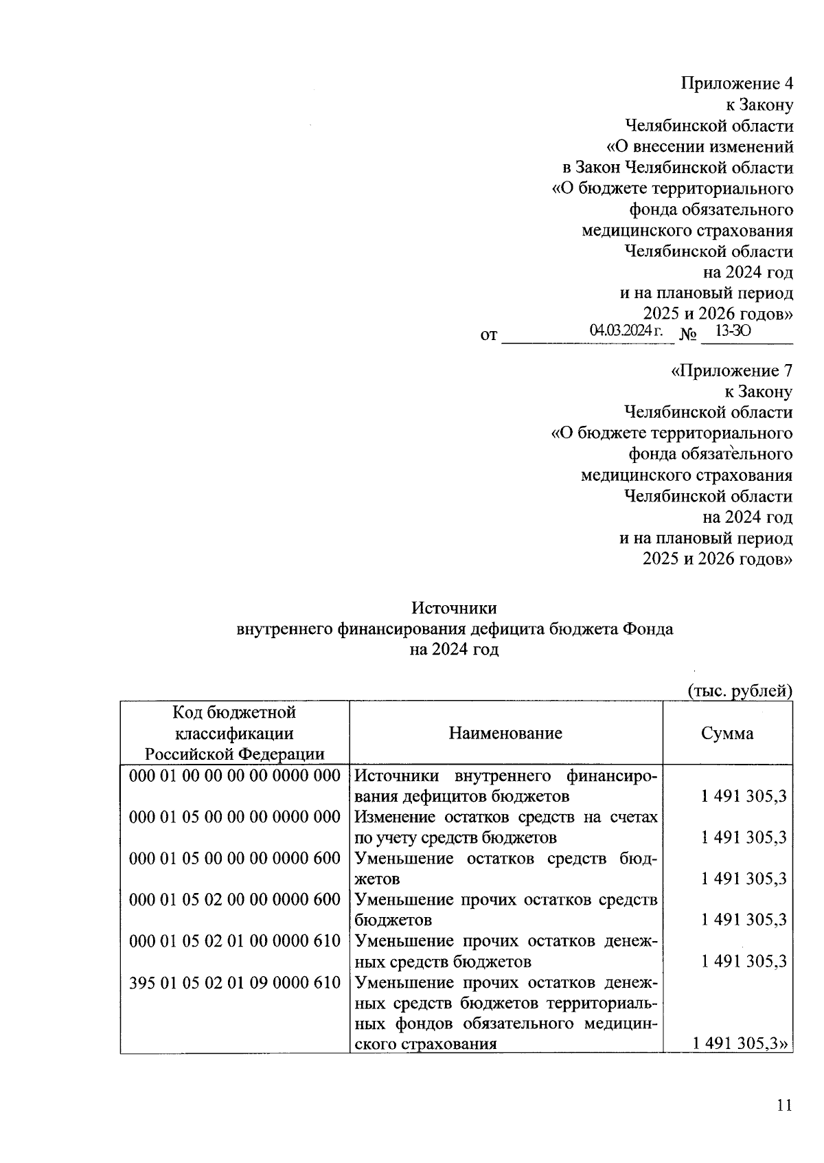
Закон Челябинской области от 04.03.2024 № 13-ЗО
"О внесении изменений в Закон Челябинской области "О бюджете территориального фонда обязательного медицинского страхования Челябинской области на 2024 год и на плановый период 2025 и 2026 годов"
"О внесении изменений в Закон Челябинской области "О бюджете территориального фонда обязательного медицинского страхования Челябинской области на 2024 год и на плановый период 2025 и 2026 годов"
Номер опубликования: 7400202403040002
Дата опубликования:
04.03.2024
