Официальное опубликование правовых актов
ОФИЦИАЛЬНОЕ ОПУБЛИКОВАНИЕ
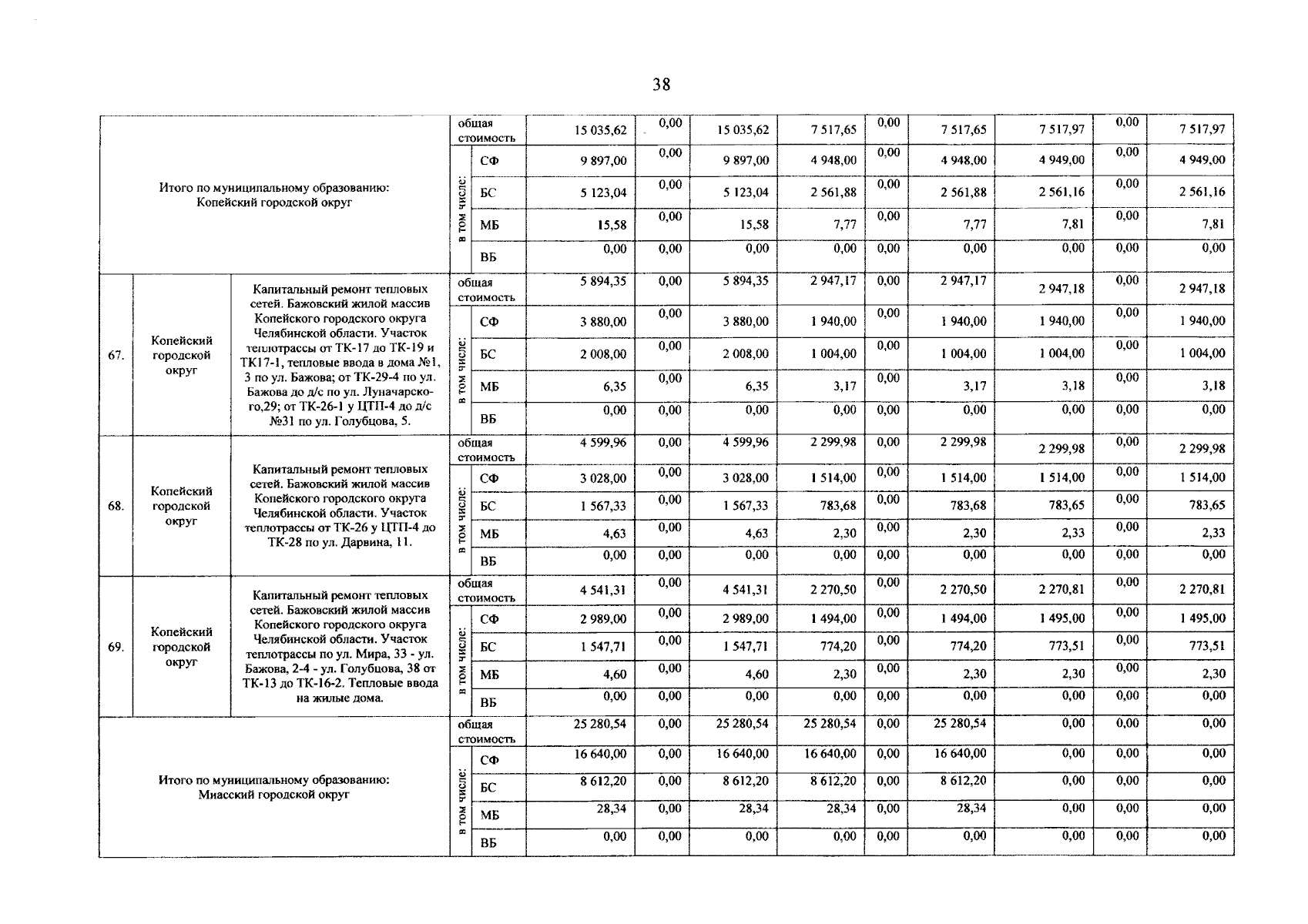
Распоряжение Правительства Челябинской области от 07.02.2024 № 111-рп
"О внесении изменений в распоряжение Правительства Челябинской области от 31.03.2023 г. № 249-рп"
Номер опубликования: 7400202402090011
Дата опубликования: 09.02.2024
Страница №39 из 65:
Увеличить