Официальное опубликование правовых актов
ОФИЦИАЛЬНОЕ ОПУБЛИКОВАНИЕ
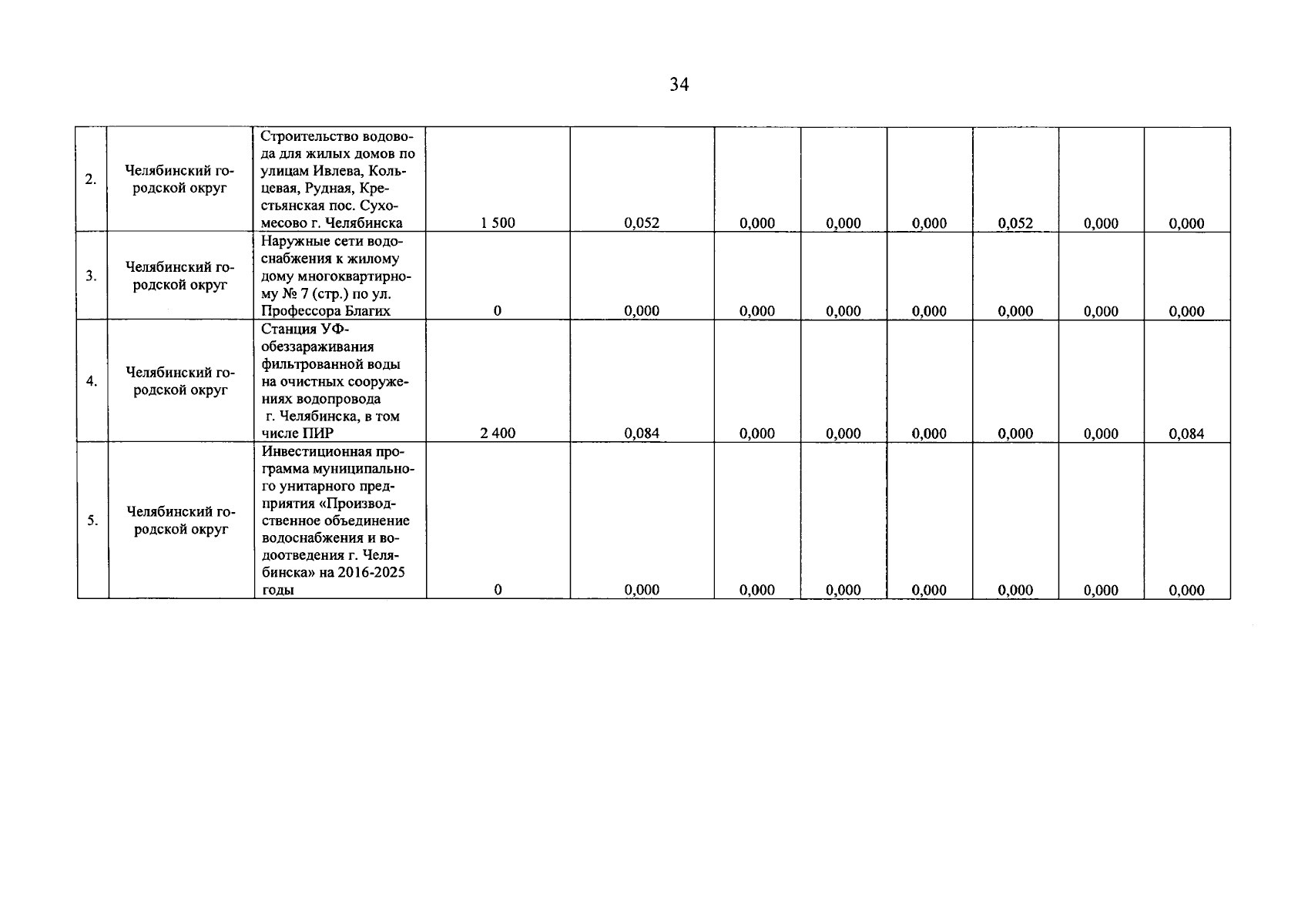
Постановление Правительства Челябинской области от 27.12.2023 № 748-П
"О внесении изменений в постановление Правительства Челябинской области от 22.10.2013 г. № 350-П"
Номер опубликования: 7400202312280026
Дата опубликования: 28.12.2023
Страница №51 из 61:
Увеличить