Официальное опубликование правовых актов
ОФИЦИАЛЬНОЕ ОПУБЛИКОВАНИЕ
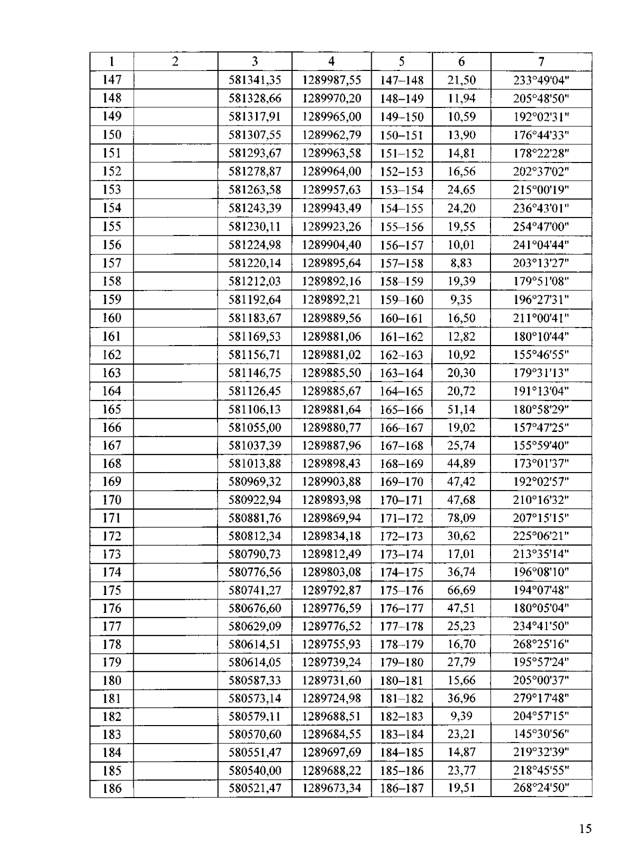
Закон Челябинской области от 31.08.2023 № 914-ЗО
"О внесении изменений в Закон Челябинской области "О статусе и границах Ашинского муниципального района, городских и сельских поселений в его составе"
Номер опубликования: 7400202309010007
Дата опубликования: 01.09.2023
Страница №15 из 33:
Увеличить