Официальное опубликование правовых актов
ОФИЦИАЛЬНОЕ ОПУБЛИКОВАНИЕ
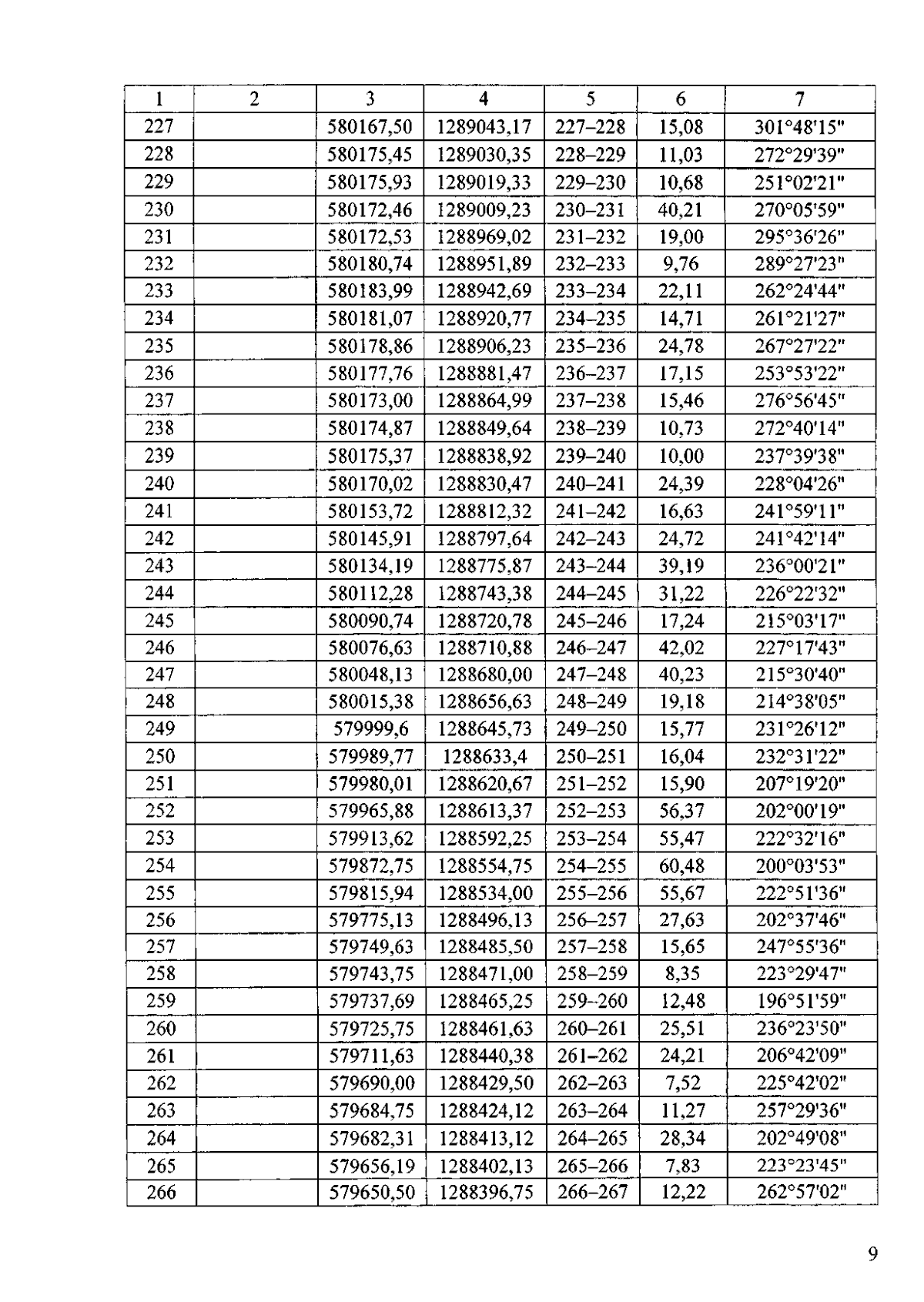
Закон Челябинской области от 31.08.2023 № 915-ЗО
"О внесении изменений в Закон Челябинской области "О статусе и границах Катав-Ивановского муниципального района, городских и сельских поселений в его составе"
Номер опубликования: 7400202309010006
Дата опубликования: 01.09.2023
Страница №9 из 19:
Увеличить