Официальное опубликование правовых актов
ОФИЦИАЛЬНОЕ ОПУБЛИКОВАНИЕ
Постановление Правительства Челябинской области от 29.08.2023 № 450-П
"О внесении изменений в постановление Правительства Челябинской области от 30.11.2021 г. № 609-П"
Номер опубликования: 7400202308300018
Дата опубликования: 30.08.2023
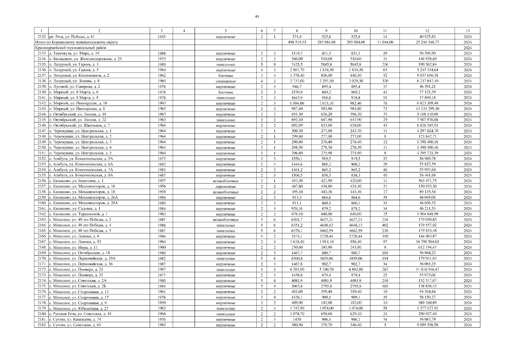
Страница №109 из 405:
Увеличить