Официальное опубликование правовых актов
ОФИЦИАЛЬНОЕ ОПУБЛИКОВАНИЕ
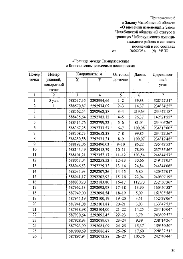
Закон Челябинской области от 20.06.2023 № 848-ЗО
"О внесении изменений в Закон Челябинской области "О статусе и границах Чебаркульского муниципального района и сельских поселений в его составе"
Номер опубликования: 7400202306210006
Дата опубликования: 21.06.2023
Страница №30 из 37:
Увеличить