Официальное опубликование правовых актов
ОФИЦИАЛЬНОЕ ОПУБЛИКОВАНИЕ
Постановление Правительства Челябинской области от 19.04.2023 № 250-П
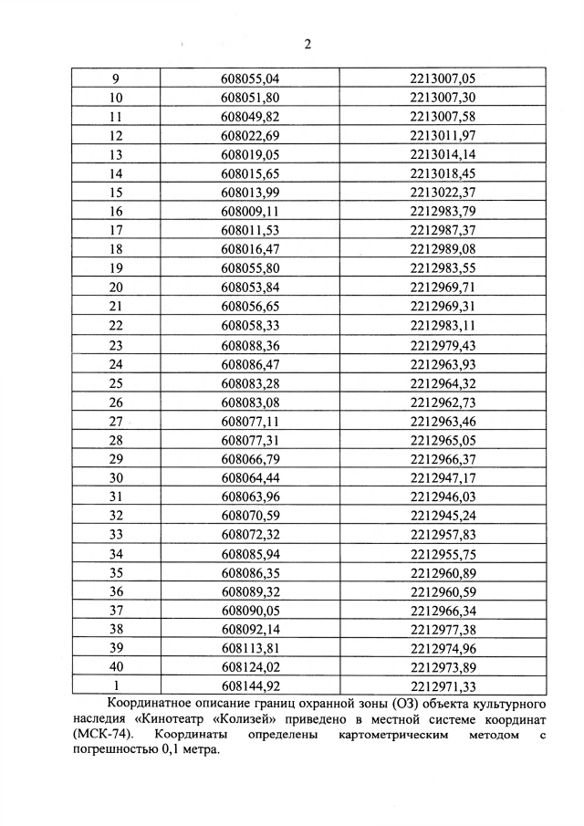
"Об утверждении границ зон охраны, особых режимов использования земель зон охраны и требований к градостроительным регламентам в границах территорий данных зон объекта культурного наследия регионального значения "Кинотеатр "Колизей", расположенного по адресу: Челябинская область, город Златоуст, улица Калинина, дом 3"
Номер опубликования: 7400202304200007
Дата опубликования: 20.04.2023
Страница №4 из 19:
Увеличить