Официальное опубликование правовых актов
ОФИЦИАЛЬНОЕ ОПУБЛИКОВАНИЕ
Постановление Правительства Челябинской области от 06.04.2023 № 217-П
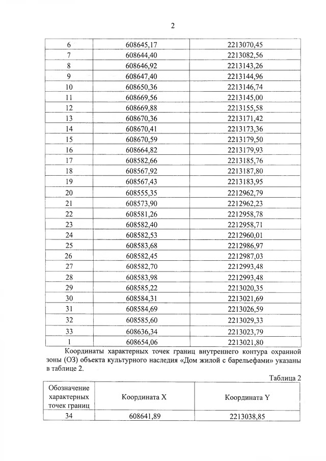
"Об утверждении границ зон охраны, особых режимов использования земель зон охраны и требований к градостроительным регламентам в границах территорий данных зон объекта культурного наследия местного (муниципального) значения "Дом жилой с барельефами", расположенного по адресу: Челябинская область, город Златоуст, улица Карла Маркса, дом 4"
Номер опубликования: 7400202304100006
Дата опубликования: 10.04.2023
Страница №4 из 14:
Увеличить