Официальное опубликование правовых актов
ОФИЦИАЛЬНОЕ ОПУБЛИКОВАНИЕ
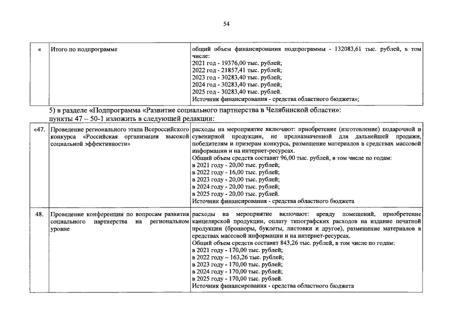
Постановление Правительства Челябинской области от 20.03.2023 № 182-П
"О внесении изменений в постановление Правительства Челябинской области от 24.12.2020 г. № 709-П"
Номер опубликования: 7400202303220003
Дата опубликования: 22.03.2023
Страница №55 из 70:
Увеличить