Официальное опубликование правовых актов
ОФИЦИАЛЬНОЕ ОПУБЛИКОВАНИЕ
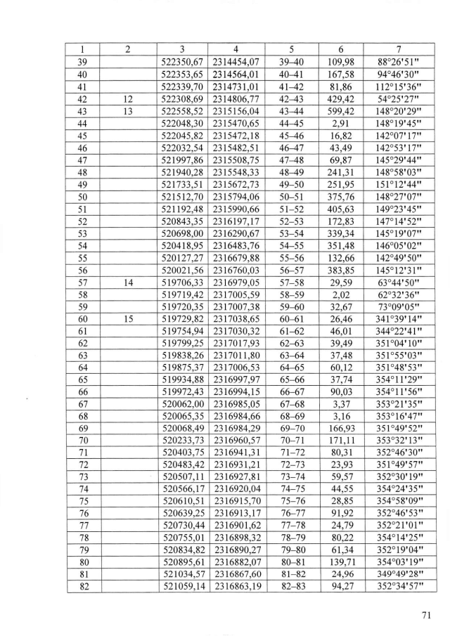
Закон Челябинской области от 28.02.2023 № 798-ЗО
"О внесении изменений в Закон Челябинской области "О статусе и границах Увельского муниципального района и сельских поселений в его составе"
Номер опубликования: 7400202303010022
Дата опубликования: 01.03.2023
Страница №71 из 115:
Увеличить