Официальное опубликование правовых актов
ОФИЦИАЛЬНОЕ ОПУБЛИКОВАНИЕ
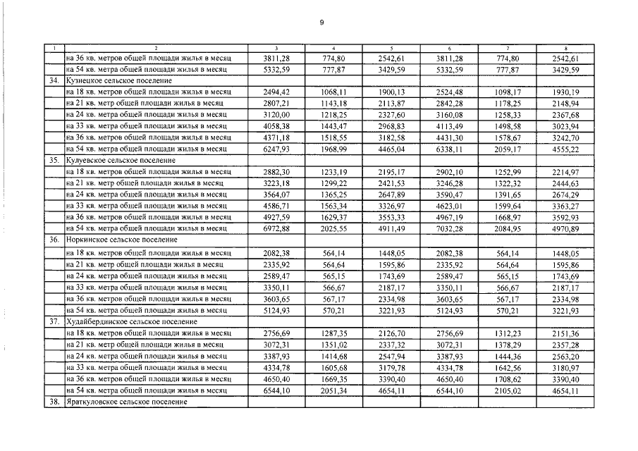
Постановление Правительства Челябинской области от 27.01.2023 № 45-П
"О региональных стандартах стоимости жилищно-коммунальных услуг по Челябинской области на декабрь 2022 года и на 2023 год"
Номер опубликования: 7400202301310012
Дата опубликования: 31.01.2023
Страница №77 из 266:
Увеличить