Официальное опубликование правовых актов
ОФИЦИАЛЬНОЕ ОПУБЛИКОВАНИЕ
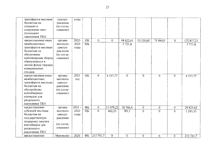
Постановление Правительства Челябинской области от 27.01.2023 № 52-П
"О внесении изменений в постановление Правительства Челябинской области от 30.12.2019 г. № 627-П"
Номер опубликования: 7400202301310009
Дата опубликования: 31.01.2023
Страница №22 из 121:
Увеличить