Официальное опубликование правовых актов
ОФИЦИАЛЬНОЕ ОПУБЛИКОВАНИЕ
Постановление Правительства Челябинской области от 10.01.2023 № 3-П
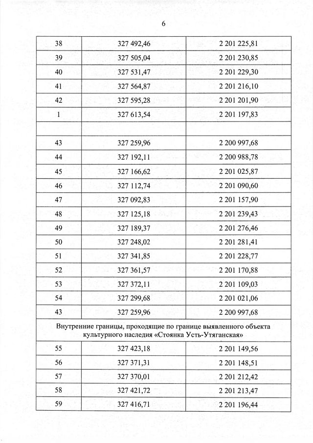
"Об утверждении границ зон охраны, особых режимов использования земель зон охраны и требований к градостроительным регламентам в границах территорий данных зон объекта культурного наследия федерального значения "Аркаим", расположенного по адресу: Челябинская область, Брединский муниципальный район, река Большая Караганка, поселок Амурский"
Номер опубликования: 7400202301110002
Дата опубликования: 11.01.2023
Страница №8 из 15:
Увеличить