Официальное опубликование правовых актов
ОФИЦИАЛЬНОЕ ОПУБЛИКОВАНИЕ
Постановление Правительства Челябинской области от 19.12.2022 № 743-П
"О внесении изменений в постановление Правительства Челябинской области от 30.06.2021 г. № 266-П"
Номер опубликования: 7400202212260002
Дата опубликования: 26.12.2022
Страница №9 из 26:
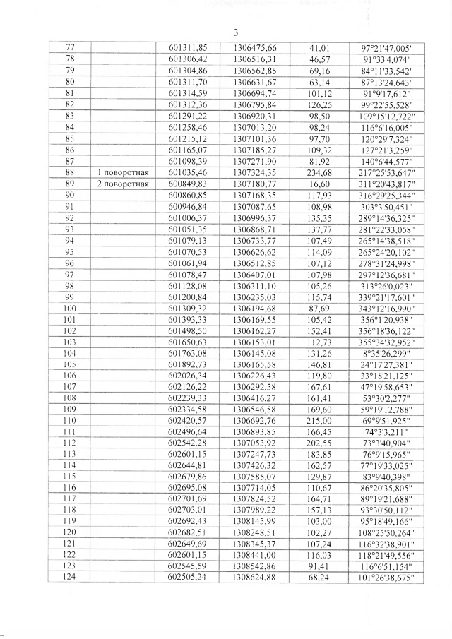
Увеличить