Официальное опубликование правовых актов
ОФИЦИАЛЬНОЕ ОПУБЛИКОВАНИЕ
Постановление Правительства Челябинской области от 24.11.2022 № 666-П
"О внесении изменений в постановление Правительства Челябинской области от 29.03.2019 г. № 158-П"
Номер опубликования: 7400202211240004
Дата опубликования: 24.11.2022
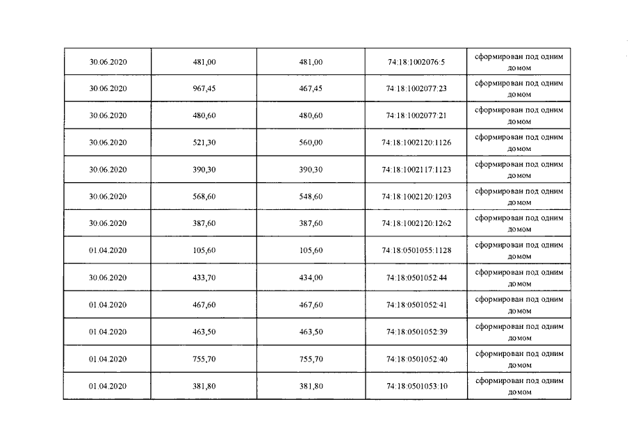
Страница №142 из 187:
Увеличить