Официальное опубликование правовых актов
ОФИЦИАЛЬНОЕ ОПУБЛИКОВАНИЕ
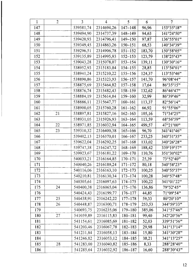
Закон Челябинской области от 03.11.2022 № 700-ЗО
"О внесении изменений в Закон Челябинской области "О статусе и границах Еманжелинского муниципального района и городских поселений в его составе"
Номер опубликования: 7400202211070002
Дата опубликования: 07.11.2022
Страница №12 из 20:
Увеличить