Официальное опубликование правовых актов
ОФИЦИАЛЬНОЕ ОПУБЛИКОВАНИЕ
Постановление Правительства Челябинской области от 26.09.2022 № 525-П
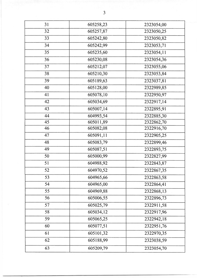
"Об утверждении границ зон охраны, особых режимов использования земель и требований к градостроительным регламентам в границах территорий данных зон объекта культурного наследия регионального значения "Ансамбль первой городской больницы Челябинска", расположенного по адресу: Челябинская область, город Челябинск, улица Воровского, дом 16"
Номер опубликования: 7400202209270001
Дата опубликования: 27.09.2022
Страница №5 из 24:
Увеличить