Официальное опубликование правовых актов
ОФИЦИАЛЬНОЕ ОПУБЛИКОВАНИЕ
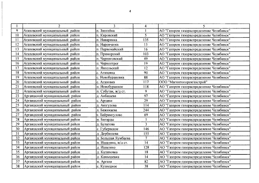
Постановление Правительства Челябинской области от 05.09.2022 № 495-П
"О внесении изменений в постановление Правительства Челябинской области от 20.09.2017 г. № 474-П"
Номер опубликования: 7400202209070007
Дата опубликования: 07.09.2022
Страница №287 из 8736:
Увеличить