Официальное опубликование правовых актов
ОФИЦИАЛЬНОЕ ОПУБЛИКОВАНИЕ
Постановление Правительства Челябинской области от 01.09.2022 № 490-П
"О внесении изменений в постановление Правительства Челябинской области от 30.11.2021 г. № 609-П"
Номер опубликования: 7400202209050001
Дата опубликования: 05.09.2022
Страница №37 из 163:
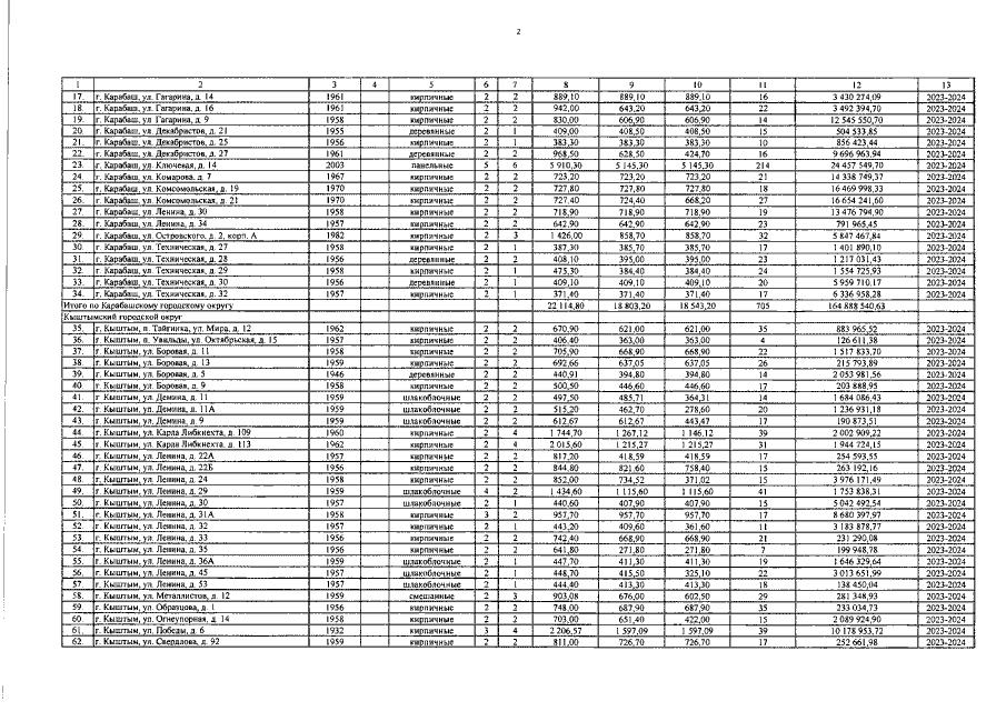
Увеличить