Официальное опубликование правовых актов
ОФИЦИАЛЬНОЕ ОПУБЛИКОВАНИЕ
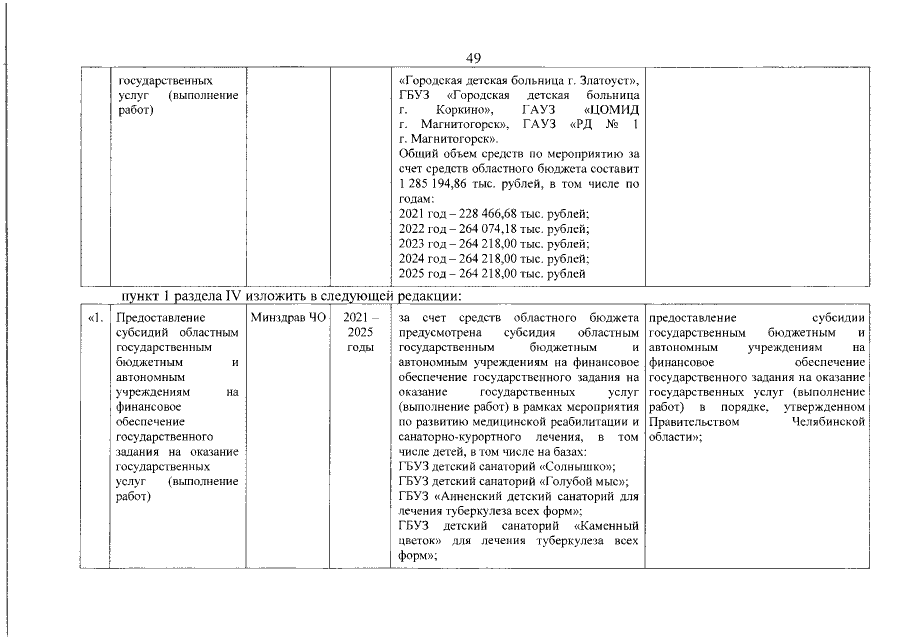
Постановление Правительства Челябинской области от 09.08.2022 № 462-П
"О внесении изменений в постановление Правительства Челябинской области от 11.12.2020 г. № 675-П"
Номер опубликования: 7400202208110010
Дата опубликования: 11.08.2022
Страница №50 из 64:
Увеличить