Официальное опубликование правовых актов
ОФИЦИАЛЬНОЕ ОПУБЛИКОВАНИЕ
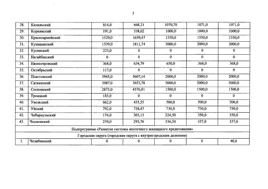
Постановление Правительства Челябинской области от 08.06.2022 № 332-П
"О внесении изменений в постановление Правительства Челябинской области от 21.12.2020 г. № 700-П"
Номер опубликования: 7400202206100007
Дата опубликования: 10.06.2022
Страница №19 из 31:
Увеличить