Официальное опубликование правовых актов
ОФИЦИАЛЬНОЕ ОПУБЛИКОВАНИЕ
Постановление Правительства Челябинской области от 31.05.2022 № 312-П
"О внесении изменений в постановление Правительства Челябинской области от 11.12.2020 г. № 675-П"
Номер опубликования: 7400202206060025
Дата опубликования: 06.06.2022
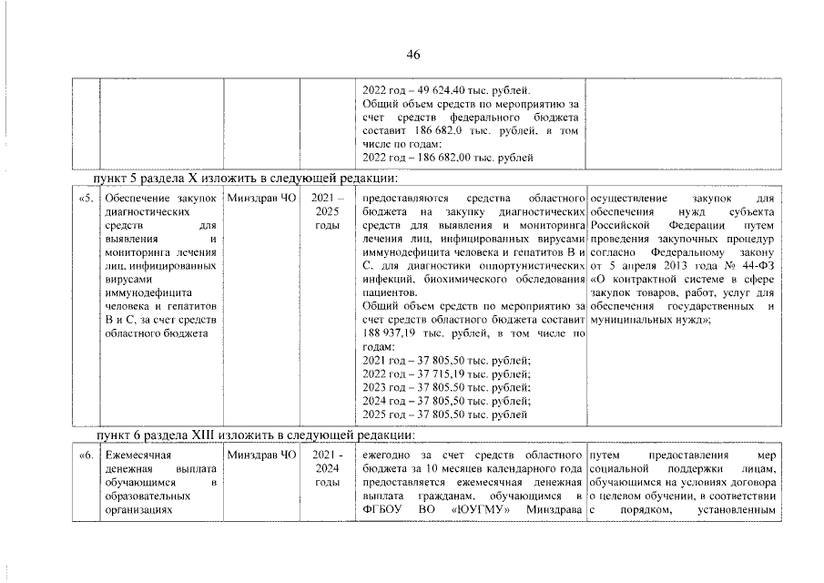
Страница №47 из 58:
Увеличить