Официальное опубликование правовых актов
ОФИЦИАЛЬНОЕ ОПУБЛИКОВАНИЕ
Распоряжение Губернатора Челябинской области от 05.04.2022 № 284-р
"О внесении изменений в распоряжение Губернатора Челябинской области от 28.07.2017 г. № 838-р"
Номер опубликования: 7400202204130001
Дата опубликования: 13.04.2022
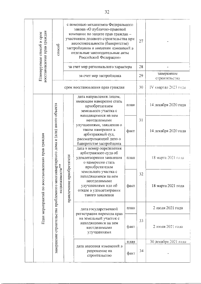
Страница №34 из 194:
Увеличить