Официальное опубликование правовых актов
ОФИЦИАЛЬНОЕ ОПУБЛИКОВАНИЕ
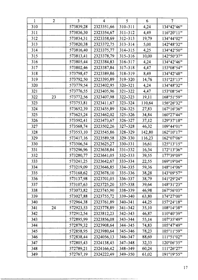
Закон Челябинской области от 06.04.2022 № 561-ЗО
"О внесении изменений в Закон Челябинской области "О статусе и границах Еткульского муниципального района и сельских поселений в его составе"
Номер опубликования: 7400202204080003
Дата опубликования: 08.04.2022
Страница №17 из 26:
Увеличить