Официальное опубликование правовых актов
ОФИЦИАЛЬНОЕ ОПУБЛИКОВАНИЕ
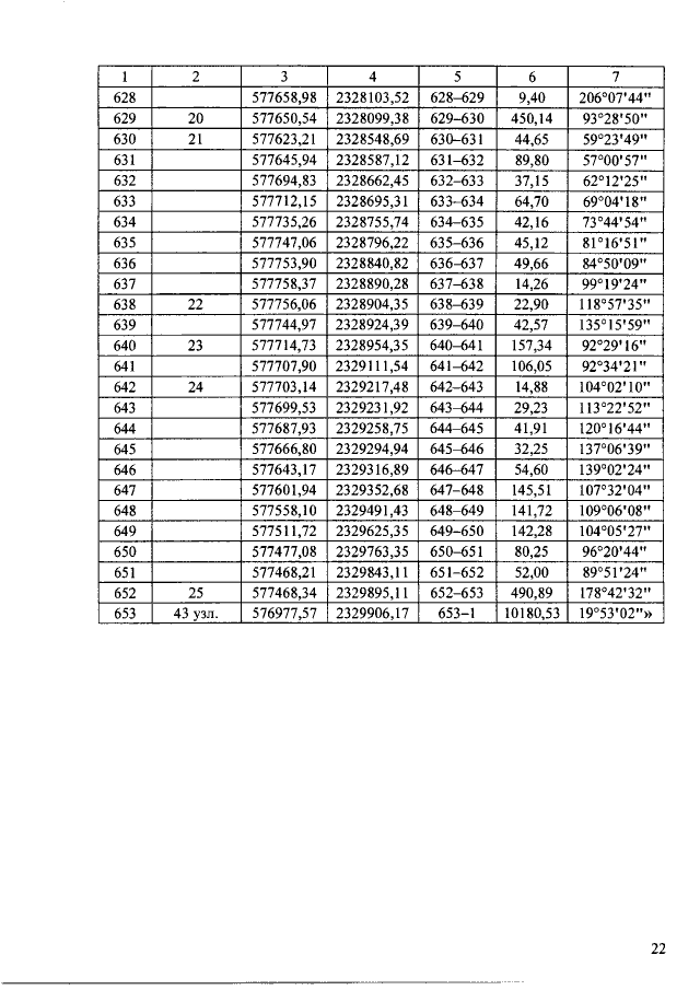
Закон Челябинской области от 06.04.2022 № 549-ЗО
"О внесении изменений в Закон Челябинской области "О статусе и границах Копейского городского округа"
Номер опубликования: 7400202204070011
Дата опубликования: 07.04.2022
Страница №22 из 23:
Увеличить