Официальное опубликование правовых актов
ОФИЦИАЛЬНОЕ ОПУБЛИКОВАНИЕ
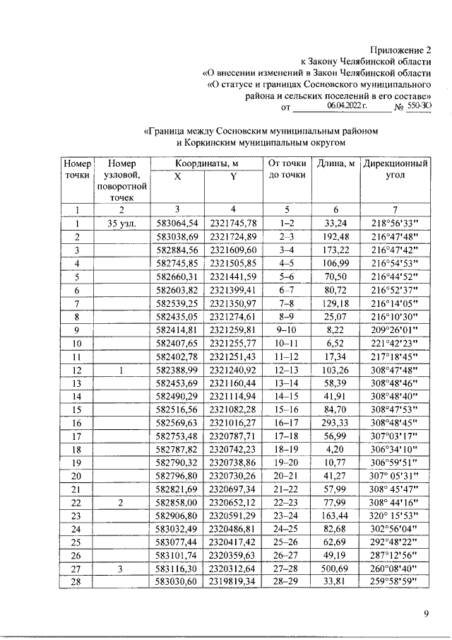
Закон Челябинской области от 06.04.2022 № 550-ЗО
"О внесении изменений в Закон Челябинской области "О статусе и границах Сосновского муниципального района и сельских поселений в его составе"
Номер опубликования: 7400202204070010
Дата опубликования: 07.04.2022
Страница №9 из 24:
Увеличить