Официальное опубликование правовых актов
ОФИЦИАЛЬНОЕ ОПУБЛИКОВАНИЕ
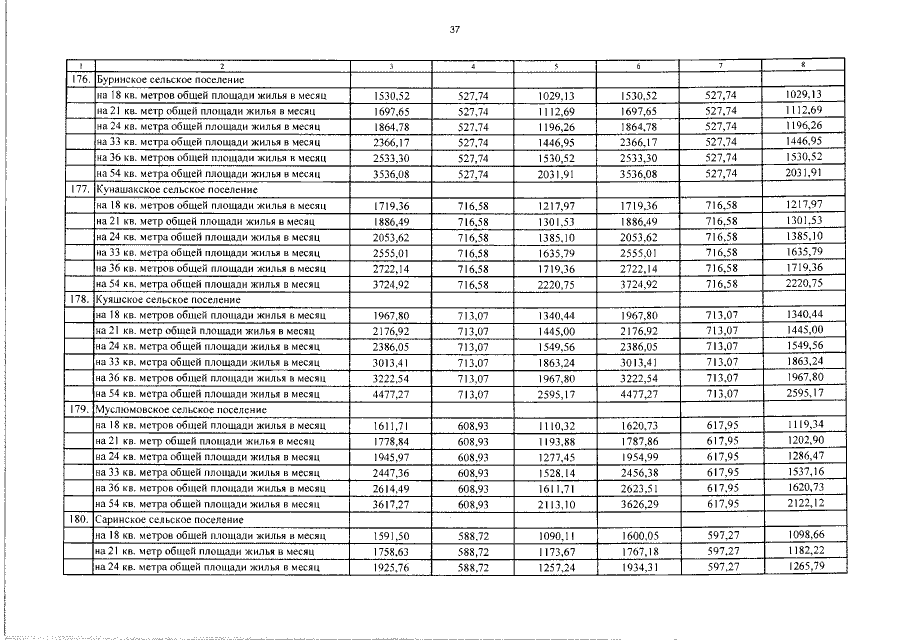
Постановление Правительства Челябинской области от 23.03.2022 № 161-П
"О региональных стандартах стоимости жилищно-коммунальных услуг по Челябинской области на 2022 год"
Номер опубликования: 7400202203240008
Дата опубликования: 24.03.2022
Страница №237 из 264:
Увеличить