Официальное опубликование правовых актов
ОФИЦИАЛЬНОЕ ОПУБЛИКОВАНИЕ
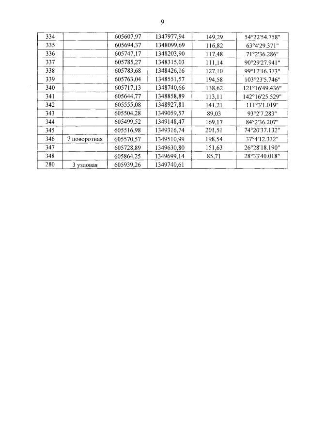
Постановление Губернатора Челябинской области от 07.02.2022 № 22
"Об установлении границ охранной зоны памятника природы Челябинской области река Ай от устья реки Бейды до деревни Сикияз-Тамак"
Номер опубликования: 7400202202100001
Дата опубликования: 10.02.2022
Страница №15 из 15:
Увеличить