Официальное опубликование правовых актов
ОФИЦИАЛЬНОЕ ОПУБЛИКОВАНИЕ
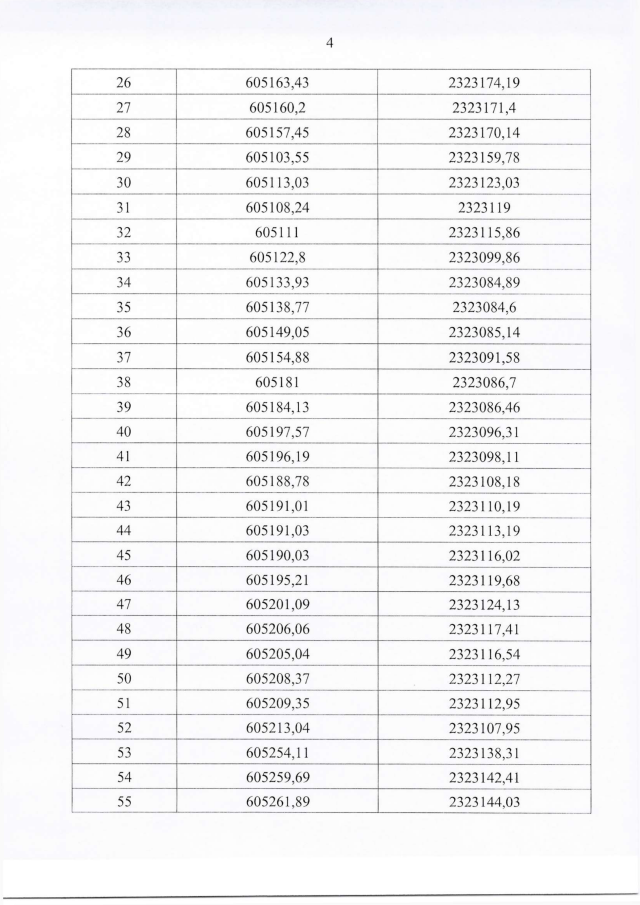
Постановление Правительства Челябинской области от 07.02.2022 № 56-П
"Об утверждении границ зон охраны, особых режимов использования земель и требований к градостроительным регламентам в границах территорий данных зон объекта культурного наследия регионального значения "Водонапорная башня", расположенного по адресу: Челябинская область, г. Челябинск, ул. Воровского, 11а"
Номер опубликования: 7400202202080009
Дата опубликования: 08.02.2022
Страница №6 из 20:
Увеличить