Официальное опубликование правовых актов
ОФИЦИАЛЬНОЕ ОПУБЛИКОВАНИЕ
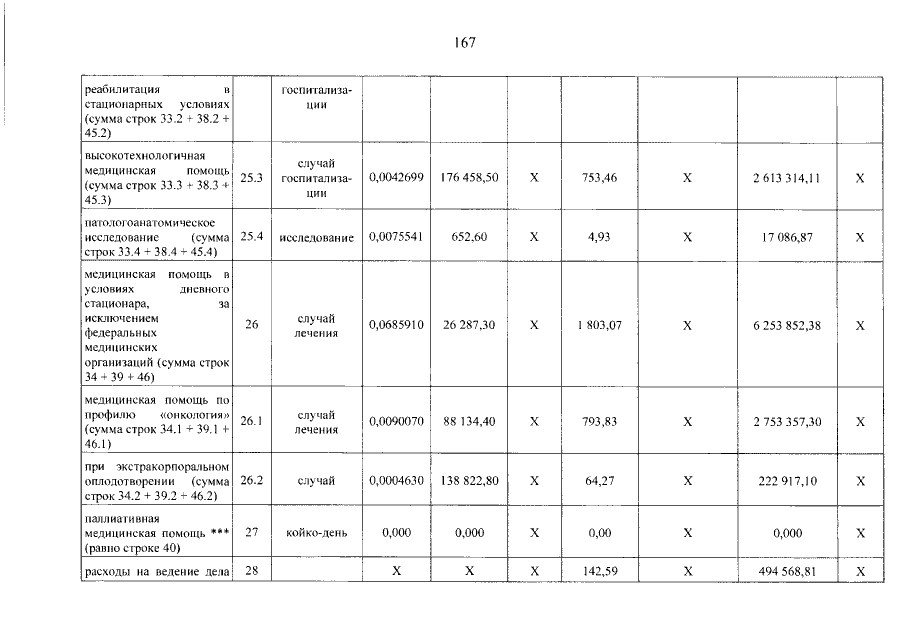
Постановление Правительства Челябинской области от 29.12.2021 № 720-П
"О Территориальной программе государственных гарантий бесплатного оказания гражданам медицинской помощи в Челябинской области на 2022 год и на плановый период 2023 и 2024 годов"
Номер опубликования: 7400202112300014
Дата опубликования: 30.12.2021
Страница №168 из 303:
Увеличить