Официальное опубликование правовых актов
ОФИЦИАЛЬНОЕ ОПУБЛИКОВАНИЕ
Постановление Правительства Челябинской области от 17.12.2021 № 666-П
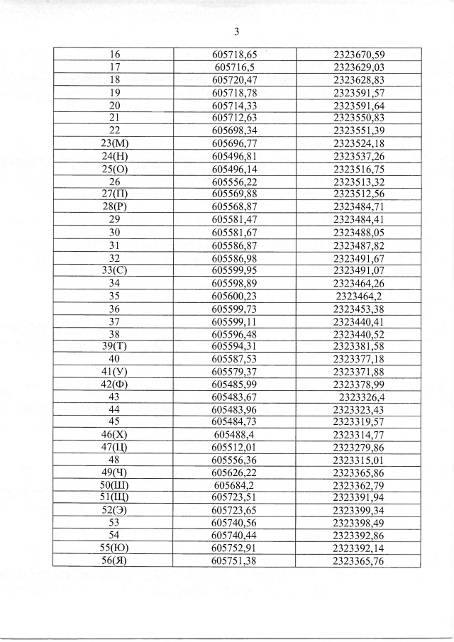
"Об утверждении границ объединенной зоны охраны, особых режимов использования земель и требований к градостроительным регламентам в границах территории данной зоны объекта культурного наследия регионального значения "Ансамбль городского театра", середина XX в., в составе: объекта культурного наследия федерального значения "Народный дом, 1903 г., арх. Р.И. Карвовский", расположенного по адресу: ул. Кирова, д. 116, объекта культурного наследия регионального значения "Дом жилой для артистов с колонным портиком" (1939-1940 годы, 1954 год, 1996 год), расположенного по адресу: город Челябинск, ул. Кирова, 116/ улица Воровского, 1; объекта культурного наследия регионального значения "Здание гостиницы", 1934 г., расположенного по адресу: Челябинская область, город Челябинск, улица Воровского, дом 2, объекта культурного наследия регионального значения "Доходный дом А.М. Батракова", расположенного по адресу: г. Челябинск, ул. Кирова, 118"
Номер опубликования: 7400202112210012
Дата опубликования: 21.12.2021
Страница №6 из 16:
Увеличить