Постановление Правительства Челябинской области от 30.11.2021 № 609-П
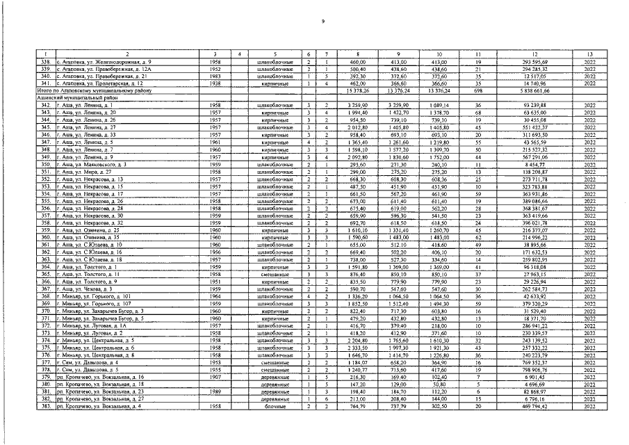
"О краткосрочном плане реализации региональной программы капитального ремонта общего имущества в многоквартирных домах Челябинской области на 2022-2024 годы"
"О краткосрочном плане реализации региональной программы капитального ремонта общего имущества в многоквартирных домах Челябинской области на 2022-2024 годы"
Номер опубликования: 7400202112070013
Дата опубликования:
07.12.2021
