Официальное опубликование правовых актов
ОФИЦИАЛЬНОЕ ОПУБЛИКОВАНИЕ
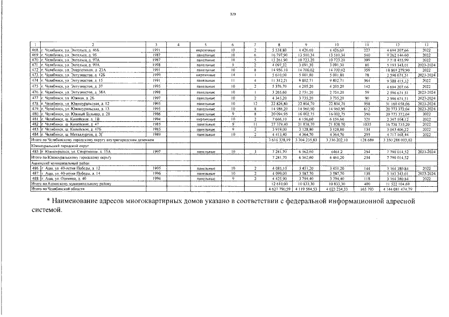
Постановление Правительства Челябинской области от 30.11.2021 № 609-П
"О краткосрочном плане реализации региональной программы капитального ремонта общего имущества в многоквартирных домах Челябинской области на 2022-2024 годы"
Номер опубликования: 7400202112070013
Дата опубликования: 07.12.2021
Страница №136 из 147:
Увеличить