Официальное опубликование правовых актов
ОФИЦИАЛЬНОЕ ОПУБЛИКОВАНИЕ
Распоряжение Губернатора Челябинской области от 25.06.2020 № 628-р
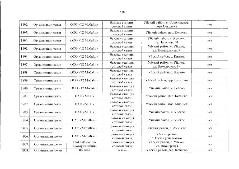
"О Перечне потребителей электрической энергии в Челябинской области с указанием принадлежащих им на праве собственности или ином законном основании энергопринимающих устройств и объектов электроэнергетики, ограничение режима потребления электрической энергии которых может привести к экономическим, экологическим или социальным последствиям"
Номер опубликования: 7400202006250001
Дата опубликования: 25.06.2020
Страница №140 из 722:
Увеличить