Официальное опубликование правовых актов
ОФИЦИАЛЬНОЕ ОПУБЛИКОВАНИЕ
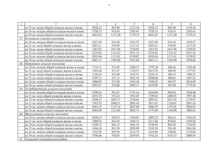
Постановление Правительства Челябинской области от 19.06.2020 № 271-П
"О внесении изменений в постановление Правительства Челябинской области от 19.03.2020 г. № 87-П"
Номер опубликования: 7400202006230008
Дата опубликования: 23.06.2020
Страница №143 из 264:
Увеличить