Официальное опубликование правовых актов
ОФИЦИАЛЬНОЕ ОПУБЛИКОВАНИЕ
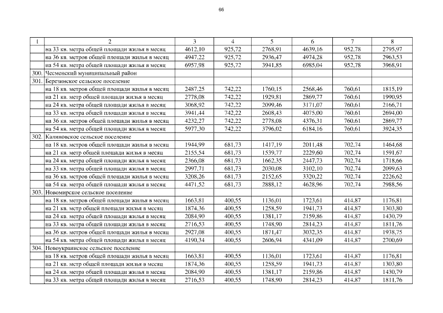
Постановление Правительства Челябинской области от 19.03.2020 № 87-П
"О региональных стандартах стоимости жилищно-коммунальных услуг по Челябинской области на 2020 год"
Номер опубликования: 7400202003260004
Дата опубликования: 26.03.2020
Страница №273 из 275:
Увеличить