Официальное опубликование правовых актов
ОФИЦИАЛЬНОЕ ОПУБЛИКОВАНИЕ
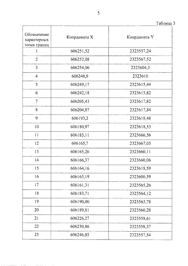
Постановление Правительства Челябинской области от 19.03.2020 № 114-П
"Об утверждении границ зон охраны, особых режимов использования земель зон охраны и требований к градостроительным регламентам в границах территорий данных зон объекта культурного наследия регионального значения "Жилищное управление Центрального района", расположенного по адресу: Челябинская область, город Челябинск, улица Цвиллинга, дом 20"
Номер опубликования: 7400202003230004
Дата опубликования: 23.03.2020
Страница №7 из 24:
Увеличить