Официальное опубликование правовых актов
ОФИЦИАЛЬНОЕ ОПУБЛИКОВАНИЕ
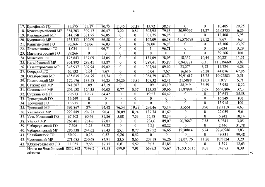
Постановление Губернатора Челябинской области от 27.11.2019 № 517
"О внесении изменений в постановление Губернатора Челябинской области от 27.12.2018 г. № 314"
Номер опубликования: 7400201911270022
Дата опубликования: 27.11.2019
Страница №5 из 14:
Увеличить