Официальное опубликование правовых актов
ОФИЦИАЛЬНОЕ ОПУБЛИКОВАНИЕ
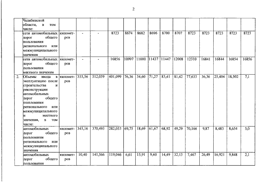
Постановление Правительства Челябинской области от 14.11.2019 № 493-П
"О внесении изменений в постановление Правительства Челябинской области от 28.11.2014 г. № 654-П"
Номер опубликования: 7400201911140004
Дата опубликования: 14.11.2019
Страница №79 из 117:
Увеличить